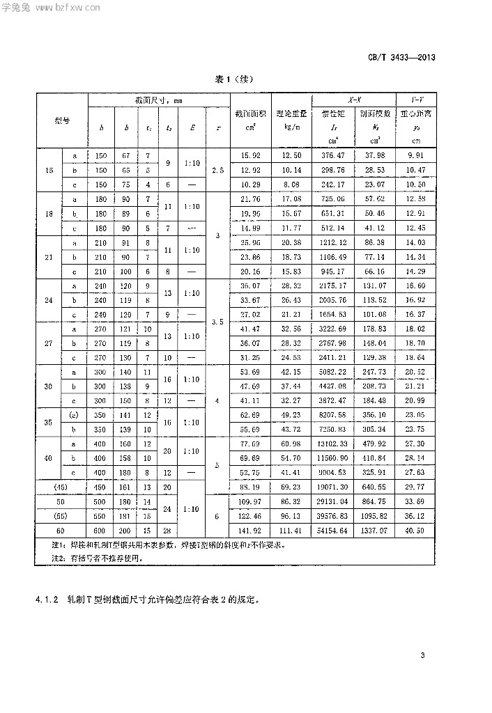
CB/T 3433-2013 船用对称型钢尺寸、外形、重量及允许偏差

行业标准 推荐性 已废止

标准状态

  1. 发布于:
  2. 实施于:
  3. 已废止

标准详情

  • 中国标准分类号:U05
    国际标准分类号:47.020.05
  • 代替标准:CB/T 3433-1992
  • 提出单位:
    主管部门:工业和信息化部

起草单位

中国船舶重工集团公司第七二五研究所、中国船舶工业综合技术经济研究院

起草人

牛继承、宫旭辉 等

标准预览(共 10 页)

* 特别声明:资源收集自网络或用户上传,版权归原作者所有,如侵犯您的权益,请联系我们处理。

  • 标准质量:
  • 文档详情:290.15KB 共 10 页 PDF

标准搜索