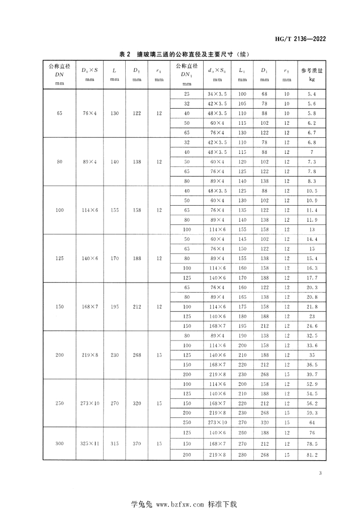
HG/T 2136-2022 搪玻璃三通、四通

行业标准 推荐性 现行

标准状态

  1. 发布于:
  2. 实施于:
  3. 废止

标准详情

  • 中国标准分类号:G94
    国际标准分类号:71.120;25.220.50
  • 代替标准:HG/T 2136-2015;HG/T 2137-2015
  • 提出单位:中国石油和化学工业联合会
    主管部门:工业和信息化部

起草单位

无锡市钱桥化工机械有限公司、靖江方大精密成型技术有限公司、常熟市华懋化工设备有限公司、推进(山东)工业技术研究院有限公司、天华化工机械及自动化研究设计院有限公司

起草人

周科、洪杰、秦丽明、徐仲民、未志华、贺正文、桑临春

标准预览(共 10 页)

* 特别声明:资源收集自网络或用户上传,版权归原作者所有,如侵犯您的权益,请联系我们处理。

  • 标准质量:
  • 文档详情:2.76MB 共 10 页 PDF

标准搜索